2.2.2 雙跨梁力學參數的求解
對幕墻立柱進行結構分析計算時,需要計算的力學參數主要有:各支座反力、垂直于 軸方向的撓度、立柱
內力即彎矩和剪力等。下面給出其求解過程,假設立柱材料的
彈性模量為 ,其
截面對中性軸的
慣性矩為 。
我們知道,雙跨梁的計算問題,實際上是一個超靜定問題,因此必須要用到靜力平衡條件和變形諧調條件。該問題的變形諧調條件就是在C支座處,垂直于 軸方向的撓度為0。
根據疊加原理,在小變形的前提下,在
彈性范圍內,作用在立柱上的力是各自獨立的,并不相互影響,各個荷載與它所引起的內力成線性關系,疊加各個荷載單獨作用的內力,就可以得到共同作用時的內力。
因此為了計算分析更容易,我們可以對幕墻立柱的雙跨梁力學模型進行簡化,簡化的思路是:先去除支座C,代之以支座反力 。于是雙跨梁力學模型實際上可以當成下面兩種簡支梁力學模型的疊加,如圖3和圖4所示。

圖3
圖3表示的實際上就是雙跨梁去除中間支座后的情況,是受呈線性分布的矩形荷載的簡支梁,其荷載集度是 ,計算長度為 。設立柱中性層的撓度曲線為

。
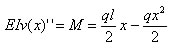
坐標為 的截面上的彎矩為

(1-1)
由于立柱中性層的撓度曲線方程為

(1-2)
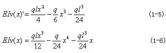
經兩次積分得

由于立柱在兩端鉸支座上的撓度都等于0,故得邊界條件

將以上邊界條件代入(1-4)式,得

所以有

于是

因為跨度中點撓度曲線的斜率為0,由此可以求得撓度的極值。

上一頁123456下一頁