由表2可以看出雙跨梁撓度的變化規律。當

=0.50時,相當于雙跨梁的長、短跨相等,中間支座處撓度為0,各截面的撓度是以中間支座為中心對稱分布的,這也與實際情況相符。當

=0.15時,短跨端支座處的撓度為0,隨著立柱截面離短跨端支座距離
x增大,截面撓度逐漸增加,到一定值后,又逐漸減小,至中間支座處撓度又重新變為0;隨著
x繼續增加,撓度從0向相反方向增加(撓度系數是負,表示如圖2所示變形情況下,撓度與
y軸正方向相反),到某個值后雙開始變小,到長跨端支座處,撓度又重新變為0。其變化規律如圖5所示。
進一步分析還可以得到三種撓度變化規律,均因

的變化而變化。當

時,撓度f
x變化規律如圖5所示;當

時,撓度f
x變化規律如圖6所示;當

=0.50,撓度f
x變化規律如圖7所示。



在工程實踐中,幕墻立柱大多數情況下是在圖5所示狀態下工作,即

。
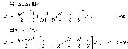
(3)

與最大彎矩
由式(1-15)和(1-16),并將式(1-12)、(1-13)和(1-14)的結果代入式中,化簡可以得到坐標為
x的截面上的彎矩與

之間的關系。

雙跨梁的最大撓度出現在什么位置,同樣與

有直接關系。

=0.10 、

=0.15 、

=0.40、

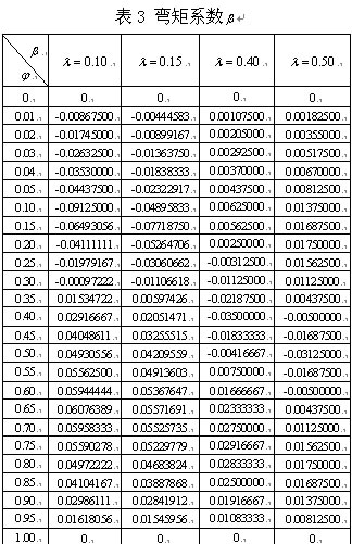
=0.50的情況為例,給出雙跨梁不同截面的彎矩求解方法。如表3所示。截面位置以


上一頁123456下一頁